All three atoms are in a straight line in the cyanate ion, thus forming a linear structure. The electronic structure is best described as :Ö̤−C≡N: with a single C–O bond and a triple C≡N bond. In the infrared spectrum of cyanate salt, there is a band at ca. 2096 cm−1. This high frequency resulted in the conclusion that this bond was a triple bond. Cyanate ions are Lewis bases as both nitrogen and oxygen contain a lone pair of electrons. Either of the lone pairs can be accepted by Lewis acceptors. Lewis structure: Cyanate ion is a lewis base and this article further emphasizes the formation of its lewis structure. Geometry: Linear shape Hybridization: sp hybridization (bond angle of 180°) Polarity: polar molecule

Lewis Structure of Cyanate ion

Lewis Structure of Cyanate ion

Lewis Structure of Cyanate ion

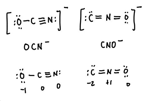
Step by step process to form a Lewis structure: Add up the number of valence electrons in each atom and correct for any overall charge on a molecule. Write out the symbols for the atoms present in the structure, noting their configuration. Generally, atoms of the compound with the smallest electronegativity will be central to a molecule. Use lines to indicate bonds between atoms, and use separate dots to show the lone pairs. STEP 1: The atomic number of carbon, nitrogen, and oxygen is 6, 7, and 8. Each atom would suffice the ‘s’ orbital by 2 electrons. The remaining electrons will fill the ‘p’ orbital. Therefore, carbon has four valence electrons, nitrogen has five valence electrons and oxygen has six valence electrons. In total, we can see there are 15 valence electrons available at this step. Considering one additional electron garnered from the negative charge on the cyanate ion — it has sixteen total valence electrons. This can be also explained by the below equation: Number of bonds required = (demand-supply ) / 2 We have a total demand of 24 electrons to make each atom stable. However, we have a supply of 16 electrons in total. Sixteen subtracted from 24 would give us four. We need four bonds to make a cyanate ion. The below could be the probabilities to complete the electron requirements of a cyanate ion:

Step 2: Either it can share two bonds or carbon can form a triple bond with nitrogen and oxygen. Every resonance structure will have a negative charge on different atoms. To verify the same, we will use another formula: Formula charge on an atom= Valence electrons – (lone electrons -number of bonds) Using the above formula individually for each atom, the first compound would have a negative charge on the nitrogen atom. While the second compound would have a negative charge on the oxygen atom. The third resonance structure depicted in the above picture would have a positive charge on the oxygen and -2 charge on the nitrogen atom. Below are the conditions that predict which compound has the highest chances of existing: Octet should be present Least separation of charges Negative F.C on the most electronegative atom Step 3: Considering all the three conditions, we can conclude that the second resonance structure of cyanate ion in the above image has the most existential probability as it aligns with all the above conditions and also has the lone pair on oxygen,i.e; that is the most electronegative atom. You must also read out the article I wrote on the lewis structure of CN.

Geometry and Hybridization of Cyanate ion

Geometry and Hybridization of Cyanate ion

Geometry and Hybridization of Cyanate ion

Method 1

The VSEPR theory is used to determine the geometry of covalent bonds by looking at the electrons around a central atom and the covalent bonds formed among these atoms. This theory depends on the assumption that a molecule achieves a stable geometry by minimizing its electronic repulsion in the valence shell. Electrons in atoms have a negative charge. Lone pairs and bond pairs of electrons repel each other, generating electrostatic repulsion which pushes atoms apart. VSEPR theory suggests that atoms in a compound will always arrange themselves in a way to minimize electron pair repulsion.

Postulates of VESPR theory

Method 2

Method 2

Method 2

At this stage, we are well-versed with the formation of the Lewis structure of the cyanate ion. Cyanate ions share a single bond with oxygen and a triple bond with Nitrogen. Oxygen carries the negative charge in this ion. To find the hybridization structure of a cyanate ion, we will use the below formula: Steric Number = (number of lone electron pairs on the central atom) + (number of atoms bonded to the central atom) The steric number for a cyanate ion -:Ö̤−C≡N: will be two as per the above formula. A compound or an ion with a steric number two shows sp hybridization. A sp hybridized compound has a bond angle of 180° and has a linear geometry.

The Polarity of a Cyanate ion

The Polarity of a Cyanate ion

The Polarity of a Cyanate ion

Polarity is a measure of the charge of a molecule. The dipole moment of a molecule is on average between 0.4 and 1.7 debye units is said to be polar. The dipole moment of a cyanate ion is 1.62207 Debye. According to the dipole moment, we can see that cyanate ions are quite polar in nature.

The Anomaly of a cyanate ion

The Anomaly of a cyanate ion

The Anomaly of a cyanate ion

The cyanate ion, OCN−, has two active ends for water molecules. This makes it possible for several stable hydrate species to be formed. The isomers where the water is attached to the N-end are always more stable energetically. When the ion is embedded in amorphous water, the O−C and C−N bonds acquire the same length. In water solutions, cyanate turns into bicarbonate via a reaction that releases ammonia. Although this reaction occurs spontaneously at room temperature, it is probably very slowly or completely inactive at the temperature of the molecular cloud. But it can be favored by incoming energy or rising temperatures, as might happen in diffuse interstellar cloud hot core or comet close to its perihelion.

Ligand behavior of Cyanate ions

Ligand behavior of Cyanate ions

Ligand behavior of Cyanate ions

A cyanate ion behaves as an ambident. It implies that a cyanate ion is capable of initiating a reaction from either side,i.e: from oxygen or from the nitrogen end. The mode of coordination of an ambidentate ligand depends on the nature of both the donor sites and the acceptor. When ligands containing donor atoms of the same effect are considered, the same effects are seen to predominate. NCO-, with its electronic charge centered on the nitrogen, coordinates extensively through the nitrogen, while the amide, with the same canonical forms of thioamides and coordinates with oxygen. Isomers of a compound can be distinguished by the geometry of its complexity. The M−NCO units prefer a linear structure in N-bonded complexes, but O-bonded molecules prefer a bent structure. As a result, the silver cyanato complex has a linear structure, according to X-ray crystallography. However, the crystal structure of silver cyanate shows that nitrogen atoms and silver atoms are connected in zigzag chains. Isocyanates are organic compounds that contain the functional group −N=C=O. Cyanate usually yields an isocyanate in nucleophilic substitution reactions. Isocyanates are widely used in the manufacture of polyurethane products and pesticides; methyl isocyanate, which is used for making pesticides.

Conclusion

Let’s conclude the complete knowledge garnered in this article about a cyanate ion. Making of its Lewis structure: Since it is the anion (charged form), it can be broken down into its electrical charge components, or negatively charged atoms and molecules adhering to the anion. After that, we count the valence electrons of the cyanate. There are a total number of 16 valence electrons on cyanate ions including the negative charge. Then we create the resonance structures of the cyanate ion as per the above method. Finally, after finding the formula charge, we get its correct Lewis structure and configuration. Cyanate ion is a ‘sp’ hybridized ion. A sp hybridized ion is of linear structure and has a bond angle of 180°. It is polar because its dipole moment is much higher than zero.